In 2023 werden hommels in Nederland voor het zesde jaar op rij geteld in het meetnet hommels. Inmiddels is het hommeltelseizoen bijna ten einde en kunnen we op basis van de tellingen in het meetnet hommels zeggen dat 2023 een jaar met twee gezichten was. De aantallen in de eerste helft van het seizoen waren laag. In de tweede helft werden juist hoge aantallen geteld. Het beeld wisselt per soort.
De eerste helft van 2023 was het vaak nat en koud en waren er veel berichten over lage aantallen insecten. De aantallen dagvlinders waren laag, en ook van andere insectengroepen was de indruk dat er weinig vloog. De aantallen hommels leken ook lager dan gemiddeld. Omdat hommels een lang vliegseizoen hebben, kijken we echter liever pas aan het einde van dat seizoen terug. Dat doen we aan de hand van de data uit het meetnet hommels, waarin meer dan 400 vrijwilligers volgens een vaste methode op een vaste route eenmaal per maand hommels tellen.
Lage aantallen in het voorjaar
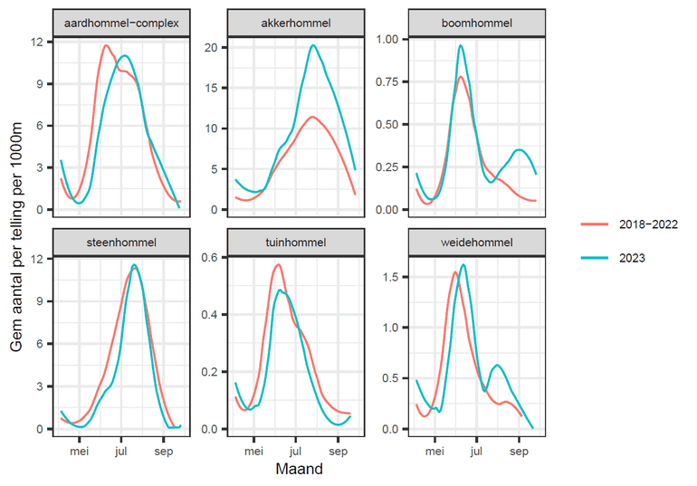
De vliegtijdgrafieken van het totaal aantal getelde hommels en die van de zes algemeenste hommelsoorten in Nederland laten zien dat de aantallen hommels begin 2023 vrij gemiddeld leken, maar vanaf begin mei lager bleven dan gemiddeld. De totale aantallen hommels in de eerste helft van 2023 bleven duidelijk achter bij het gemiddelde van de voorgaande jaren. De stijging van het aantal getelde hommels die we elk jaar in mei zien door de groei van de hommelvolken, startte duidelijk later dan in de meeste andere jaren. De aantallen in de voorjaarspiek bleven ook lager dan het gemiddelde. Ze waren vergelijkbaar met 2021 en 2022, maar opvallend lager dan de drie jaar daarvoor.
Hogere aantallen in de zomer
Opvallend is dat de piekaantallen van alle hommels samen in de zomer juist duidelijk boven het gemiddelde lagen. Bovendien viel de piek in de tijd weer ongeveer gelijk met het gemiddelde, namelijk half juli. Per hommelsoort wisselt het beeld. De totale aantallen hommels worden vooral bepaald door de drie algemeenste soorten: akkerhommel, steenhommel en aardhommel-complex. Die zijn de afgelopen jaren ieder jaar een factor tien tot twintig talrijker dan drie andere algemene soorten: de weidehommel, de tuinhommel en de boomhommel.
Goed jaar voor akkerhommel
De totale aantallen hommels worden vooral bepaald door die van de talrijkste hommel in het meetnet hommels: de akkerhommel. Die lijkt juist een jaar met hele hoge aantallen achter de rug te hebben, tot wel twintig akkerhommels per telling per kilometer telroute, terwijl dat gemiddeld net boven de tien akkerhommels ligt. De vliegtijd van de akkerhommel was vergelijkbaar met het gemiddelde, niet later. Ook de boomhommel lijkt een gemiddeld seizoen te hebben gehad. In het voorjaar waren de aantallen en de vliegtijd vergelijkbaar met het gemiddelde. De piekaantallen lagen net iets hoger dan het gemiddelde. De boomhommel is één van onze hommels met een vroeg vliegseizoen en een aantalspiek in juni.

Mager jaar voor steenhommel en aardhommelcomplex
De vier andere algemene hommelsoorten: steenhommel, tuinhommel, weidehommel en aardhommelcomplex, laten allemaal de late stijging van de aantallen zien. Het duidelijkst zichtbaar was dit voor het aardhommelcomplex en de steenhommel. Het aardhommelcomplex en de steenhommel liepen in de eerste helft van het seizoen één tot twee weken achter op eerdere jaren. Hoewel de aantallen van het aardhommelcomplex in de zomer groter waren dan in 2022, is de verwachting dat 2023 een van de mindere jaren van het aardhommelcomplex was sinds de start van het meetnet. Ook de steenhommel bereikte weliswaar gemiddelde piekaantallen. Het vliegseizoen lijkt echter korter geweest dan normaal, dus de verwachting is dat het totale aantal steenhommels kleiner is.

Meetnet hommels
De komende weken kun je nog steeds hommels zien. Koninginnen maken zich op voor de winter en slaan extra energievoorraden in op bloeiende planten. Als de hommels in winterrust zijn, worden er – voor het eerst – trends berekend voor de meest algemene hommelsoorten. Dit gebeurt door het Centraal Bureau voor de Statistiek dat de cijfers uit het Meetnet hommels gaat analyseren. Hieruit volgen definitieve cijfers over het hommelseizoen 2023. Na vijf pilotjaren is het meetnet hommels in 2023 voor het eerst onderdeel van het Netwerk Ecologische monitoring (NEM). Dit netwerk bestaat uit allerlei monitoringsprojecten om de trends van allerlei groepen dieren en planten te bepalen. Het meetnet hommels is bedoeld om trends in de aantallen hommels vast te stellen. De methode is vergelijkbaar met het meetnet vlinders. Het meetnet hommels is opgezet door EIS Kenniscentrum Insecten en De Vlinderstichting. Hommels hebben speciale aandacht. Tweederde van onze hommels staat op de Rode Lijst en in de afgelopen eeuw is een kwart van onze hommelsoorten uit Nederland verdwenen. Daarom is het extra belangrijk om de aantalsontwikkelingen van de overgebleven soorten goed in kaart te brengen. Ze vormen de basis voor hun bescherming.
Loopt u een vlinderroute en heeft u ook interesse om hommels te tellen? Op onze website vindt u informatie hoe u de routes kunt combineren.
Hommels
Er zijn enkele tientallen hommelsoorten. De werksters worden van ’s ochtends vroeg tot ’s avonds laat overal op bloemen aangetroffen. Ze zijn goed herkenbaar en te onderscheiden aan de stevige lichaamsbouw, dichte beharing en op gekleurde ringen op borst en/of achterlijf.
Meer informatie over hommels en de herkenning van de verschillende soorten.